Prikazi cijelu temu 03.04.2025 15:14
Avko Van mreze
Administrator
Registrovan od:28.05.2014
Lokacija:zagreb


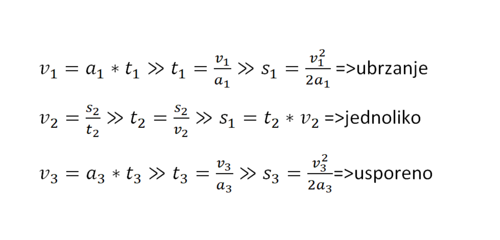
Predmet:Re:ubrzano i usporeno gibanje zadatak
ovo u redu?

Prilozi:
03.04.2025_15.13.23_REC.png
Preuzimanja:30
Velicina datoteke:44.89 KB


zivot je moja domovina.